Método Feldenkrais
El Método Feldenkrais es un proceso educativo basado en la neuroplasticidad y el aprendizaje somático. A través de movimientos conscientes —en sesiones grupales o individuales—, busca optimizar la organización motriz, sensorial y emocional del individuo.
A continuación se presentan los principios fundamentales que guían esta práctica y que permiten comprender cómo el movimiento consciente puede transformar la manera de habitar el cuerpo y la vida cotidiana.
Principios
La dificultad de ver lo obvio

“Las verdades profundas suelen estar escondidas en lo obvio.”
-M. Feldenkrais

Lo más simple se nos escapa. Cómo respiramos, cómo nos sentamos, cómo hacemos lo que hacemos. Somos gobernados por la idea de lo que creemos ser, y en esa creencia pasamos por alto lo evidente. Está tan cerca que deja de ser visto.
En el proceso de autoconciencia a través del movimiento no buscamos imponer correcciones externas, sino despertar la capacidad de percibir lo evidente, de expandir la autoobservación. Al reorganizarse, el sistema nervioso descubre nuevas posibilidades de acción. Esa inteligencia intrínseca, silenciosa y no dirigida, es una puerta hacia una transformación profunda.
Principios
Unidad de
cuerpo y mente
“La división entre mente y materia es una abstracción;
la realidad es un flujo indiviso en movimiento.”
— David Bohm
Cada pensamiento tiene su postura; cada emoción, su modo de respirar. No hay acción sin sensación. Lo humano es un sistema unitario donde cuerpo, mente y emoción se reflejan mutuamente en un continuo de movimiento y percepción.
En nuestra práctica buscamos volver a esa unidad originaria. Al despertar, a través del movimiento, la percepción de cómo pensamos y sentimos, la vida se reordena de manera más orgánica. El resultado no es solo alivio físico, sino un sentido renovado de coherencia interior.
“La unidad del cuerpo y la mente no es una idea, es una realidad objetiva. Un cerebro sin cuerpo no podría pensar.” — Embodied Wisdom: The Collected Papers

Principios
Economía de esfuerzo
“Cuando reducimos el esfuerzo innecesario, aparece la elegancia natural.”
— M. Feldenkrais

Principios
Economía de esfuerzo
Nuestra cultura glorifica el esfuerzo constante, aunque a menudo nos arrastre hacia la fatiga y el dolor. Feldenkrais nos demostró que la tensión excesiva no es una virtud: lo que parece fortaleza suele ser un uso ineficiente de los recursos y una constricción a nuestra capacidad.
En las clases de Autoconciencia a través del Movimiento se nos invita a movernos sin esfuerzo, explorando desde la comodidad y la curiosidad. Esta práctica despierta un refinamiento progresivo en la organización interna.
Cuando la calidad del movimiento mejora, el cuerpo se reorganiza en sus relaciones más profundas: músculos, esqueleto, respiración y atención comienzan a coordinarse de otro modo. Esa nueva armonía tiene un efecto transformador en todo el organismo.
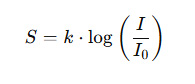
¿Porqué esto es así? Leé sobre la ley de Weber-Fechner

- S = magnitud subjetiva o sensación percibida
- I = intensidad física del estímulo
- I0 = umbral absoluto (mínimo valor del estímulo detectable)
- k = constante de proporcionalidad que depende del tipo de estímulo (luz, sonido, peso, etc.)
Esta ley describe un principio de sensibilidad diferencial: la percepción mejora cuando la diferencia entre estímulos es proporcionalmente pequeña y consciente, no cuando la intensidad aumenta. Es decir, cuanto más sutil la diferencia, mayor la capacidad de aprendizaje sensorial.
El Método Feldenkrais se apoya en este mismo principio. En lugar de buscar grandes esfuerzos o resultados inmediatos, propone movimientos mínimos y atentos que afinan la percepción. A través de esa escucha fina, el sistema nervioso aprende con mayor precisión.
Principios
Reversibilidad
“Una acción reversible es aquella en la que todos los componentes están disponibles para detenerse o cambiar de dirección sin tensión innecesaria” — M. Feldenkrais
La salud no se mide solo por la ausencia de dolor o síntomas, sino por la capacidad de elegir y readaptar nuestro comportamiento: ser firmes cuando la situación lo requiere y ser blandos cuando es necesario. Moshe Feldenkrais llamaba a esto reversibilidad: la facultad de detener o transformar una acción, un pensamiento o una emoción sin quedar atrapado en ellos.
Descubrir y cultivar esta capacidad en el movimiento abre la puerta al verdadero dominio propio. Aprendemos a sostener la vida con una presencia suave pero contundente. La reversibilidad es el sello de una acción madura, flexible y plena.

En Holosomática buscamos tender puentes entre el Método Feldenkrais y otras disciplinas que exploran el movimiento, la percepción y la conciencia. Ofrecemos talleres, clases gratuitas y aranceladas; espacios de intercambio interdisciplinario para quienes deseen experimentar esta pedagogía desde distintos campos del saber y la práctica.
Recomendamos explorar nuestros cursos grabados y el calendario de actividades, diseñados para acompañar el proceso de aprendizaje en cualquier momento y lugar. Cada propuesta es una invitación a ampliar la sensibilidad y descubrir una forma más orgánica de habitar el cuerpo y la vida.
